

Peace = (Fear ÷ God’s Promises + faith & forgiveness) multiplied by praise
God is not the author of fear. We can defeat our fears by appropriating God’s promises. We must not merely read them, but believe them. When we ask, we must ask in faith, but we must not do so with unforgiveness in our hearts because disobedience hampers our prayer life and grieves the Spirit. Praise is powerful to subdue doubt and defeat the enemy. (Read 2 Chronicles 20)


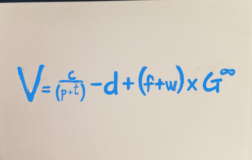
Victory = Circumstances ÷ (prayer + thanksgiving) minus doubt + (faith + works) × God to the infinite power.
No matter what we face, circumstances that seem impossible and insurmountable will be cut down to size when we talk to the Lord about them and practice thankfulness, thereby shifting our perspective. The scripture says to ask, nothing wavering, for when we ask doubtingly, not expecting an answer, we will not look for God’s provision and will miss it. Faith without works is dead, but if you add action, such as making a statement expressing your expectation of a response from God, or like the man who prayed for rain, carried his umbrella in expectation, now action has been added to faith! Multiply that by God’s infinite power, and victory is the outcome. Even if circumstances don’t change, God will give you a different perspective that will alleviate your concern, or carry you through to the other side, growing your understanding, stretching your faith muscles and giving you a testimony!

